手机比分

中文  |  EN
新闻动态
当前位置: 主页 >> 青春土建 >> 新闻动态 >> 正文
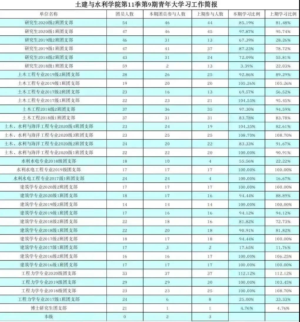
手机比分 第11季第9期青年大学习工作简报
发布时间:2021年05月25日 16:20    作者:    点击:[]

上一条:手机比分 “泉语”水利志愿服务队赴济南市水务局参观联谊 下一条:关于召开手机比分-win007手机版 第一次学生代表大会的通知

关闭

Copyright © 2018-2020    版权所有:手机比分-win007手机版     [网站管理]

地址:山东省济南市经十路17923号    邮编:250061    电话:0531-88392446    传真:0531-88392446    院长信箱:[email protected]

网址:sjscore.com    E-mail:[email protected]    技术支持:奇赛信科